Class 09: Candy Mini Project

Author

Cyrus Shabahang (PID: A19145663)

Background

In today’s mini-project we will analyze candy data with ggplot, basic statistics, correlation analysis and principal component analysis methods we have been learning thus far.

Data Import

The data comes as a CSV file from 538.

candy <- read.csv("candy-data.csv", row.names = 1)
head(candy)
             chocolate fruity caramel peanutyalmondy nougat crispedricewafer
100 Grand            1      0       1              0      0                1
3 Musketeers         1      0       0              0      1                0
One dime             0      0       0              0      0                0
One quarter          0      0       0              0      0                0
Air Heads            0      1       0              0      0                0
Almond Joy           1      0       0              1      0                0
             hard bar pluribus sugarpercent pricepercent winpercent
100 Grand       0   1        0        0.732        0.860   66.97173
3 Musketeers    0   1        0        0.604        0.511   67.60294
One dime        0   0        0        0.011        0.116   32.26109
One quarter     0   0        0        0.011        0.511   46.11650
Air Heads       0   0        0        0.906        0.511   52.34146
Almond Joy      0   1        0        0.465        0.767   50.34755

Q1. How many different candy types are in this dataset?

There are 85 rows in this dataset.

Q2. How many fruity candy types are in the dataset?

sum(candy$fruity)
[1] 38

Q3. What is your favorite candy (other than Twix) in the dataset and what is it’s winpercent value?

candy["Haribo Twin Snakes", ]$winpercent
[1] 42.17877

Q4. What is the winpercent value for “Kit Kat”? (Using dplyr package)

library(dplyr)

Attaching package: 'dplyr'
The following objects are masked from 'package:stats':

    filter, lag
The following objects are masked from 'package:base':

    intersect, setdiff, setequal, union
candy |>
  filter(row.names(candy)=="Kit Kat") |>
  select(winpercent)
        winpercent
Kit Kat    76.7686

Q5. What is the winpercent value for “Tootsie Roll Snack Bars”?

candy["Tootsie Roll Snack Bars", ]$winpercent
[1] 49.6535

Q6. Is there any variable/column that looks to be on a different scale to the majority of the other columns in the dataset?

library("skimr")
skim(candy)
Data summary
Name candy
Number of rows 85
Number of columns 12
_______________________
Column type frequency:
numeric 12
________________________
Group variables None

Variable type: numeric

skim_variable n_missing complete_rate mean sd p0 p25 p50 p75 p100 hist
chocolate 0 1 0.44 0.50 0.00 0.00 0.00 1.00 1.00 ▇▁▁▁▆
fruity 0 1 0.45 0.50 0.00 0.00 0.00 1.00 1.00 ▇▁▁▁▆
caramel 0 1 0.16 0.37 0.00 0.00 0.00 0.00 1.00 ▇▁▁▁▂
peanutyalmondy 0 1 0.16 0.37 0.00 0.00 0.00 0.00 1.00 ▇▁▁▁▂
nougat 0 1 0.08 0.28 0.00 0.00 0.00 0.00 1.00 ▇▁▁▁▁
crispedricewafer 0 1 0.08 0.28 0.00 0.00 0.00 0.00 1.00 ▇▁▁▁▁
hard 0 1 0.18 0.38 0.00 0.00 0.00 0.00 1.00 ▇▁▁▁▂
bar 0 1 0.25 0.43 0.00 0.00 0.00 0.00 1.00 ▇▁▁▁▂
pluribus 0 1 0.52 0.50 0.00 0.00 1.00 1.00 1.00 ▇▁▁▁▇
sugarpercent 0 1 0.48 0.28 0.01 0.22 0.47 0.73 0.99 ▇▇▇▇▆
pricepercent 0 1 0.47 0.29 0.01 0.26 0.47 0.65 0.98 ▇▇▇▇▆
winpercent 0 1 50.32 14.71 22.45 39.14 47.83 59.86 84.18 ▃▇▆▅▂

Winpercent is on a 0-100 scale and is different than the others that are mostly on 0 and 1 indicators.

Q7. What do you think a zero and one represent for the candy$chocolate column?

table(candy$chocolate)

 0  1 
48 37 

Zero and one are most likely binary indicators. Zero means that the candy does not contain chocolate and one indicates that it does contain chocolate.

Exploratory Analysis

Q8. Plot a histogram of winpercent values using both base R an ggplot2.

hist(candy$winpercent, breaks=20)

library(ggplot2)

ggplot(candy) +
  aes(winpercent) +
  geom_histogram(bins=20, fill="lightblue", col="darkgray")

Q9. Is the distribution of winpercent values symmetrical?

No, it is not symmtrical.

Q10. Is the center of the distribution above or below 50%?

mean(candy$winpercent)
[1] 50.31676
median(candy$winpercent)
[1] 47.82975

The center of distribution is slightly below 50% taking the median values, but a mean value of around 50% suggests a right-skewed plot.

Q11. On average is chocolate candy higher or lower ranked than fruit candy?

Steps to solve this: 1. Find all chocolate candy in the dataset 2. Extract or find their winpercent values 3. Calculate the mean of these values 4. Find all fruity candy 5. Find their winpercent values 6. Calculate their mean vlaue

mean(candy$winpercent[candy$chocolate==1])
[1] 60.92153
mean(candy$winpercent[candy$fruity==1])
[1] 44.11974
median(candy$winpercent[candy$chocolate == 1])
[1] 60.8007
median(candy$winpercent[candy$fruity == 1])
[1] 42.96903

On average, chocolate candy is ranked higher than fruity candies. This is evident from the mean and median for winpercent both being around 60% for chocolate cnady.

Q12. Is this difference statistically significant?

choc <- candy$winpercent[as.logical(candy$chocolate)]
fruit <- candy$winpercent[as.logical(candy$fruity)]

t.test(choc, fruit)

    Welch Two Sample t-test

data:  choc and fruit
t = 6.2582, df = 68.882, p-value = 2.871e-08
alternative hypothesis: true difference in means is not equal to 0
95 percent confidence interval:
 11.44563 22.15795
sample estimates:
mean of x mean of y 
 60.92153  44.11974 

This difference is statistically significant as indicated by the extremely small p value. A p value below 0.05 tells us that there is statistical signifiance. Chocolate has both a higher mean and median than fruity candies. Additionally, we have a 95% confidence interval.

Overall Candy Rankings

Q13. What are the five least liked candy types in this set?

head(candy[order(candy$winpercent), ], n=5)
                   chocolate fruity caramel peanutyalmondy nougat
Nik L Nip                  0      1       0              0      0
Boston Baked Beans         0      0       0              1      0
Chiclets                   0      1       0              0      0
Super Bubble               0      1       0              0      0
Jawbusters                 0      1       0              0      0
                   crispedricewafer hard bar pluribus sugarpercent pricepercent
Nik L Nip                         0    0   0        1        0.197        0.976
Boston Baked Beans                0    0   0        1        0.313        0.511
Chiclets                          0    0   0        1        0.046        0.325
Super Bubble                      0    0   0        0        0.162        0.116
Jawbusters                        0    1   0        1        0.093        0.511
                   winpercent
Nik L Nip            22.44534
Boston Baked Beans   23.41782
Chiclets             24.52499
Super Bubble         27.30386
Jawbusters           28.12744

The five least liked candy types in this data set are Nik L Nip, Boston Baked Beans, Chiclets, Super Bubble, and Jawbusters.

Q14. What are the top 5 all time favorite candy types out of this set?

head(candy[order(-candy$winpercent), ], n=5)
                          chocolate fruity caramel peanutyalmondy nougat
Reese's Peanut Butter cup         1      0       0              1      0
Reese's Miniatures                1      0       0              1      0
Twix                              1      0       1              0      0
Kit Kat                           1      0       0              0      0
Snickers                          1      0       1              1      1
                          crispedricewafer hard bar pluribus sugarpercent
Reese's Peanut Butter cup                0    0   0        0        0.720
Reese's Miniatures                       0    0   0        0        0.034
Twix                                     1    0   1        0        0.546
Kit Kat                                  1    0   1        0        0.313
Snickers                                 0    0   1        0        0.546
                          pricepercent winpercent
Reese's Peanut Butter cup        0.651   84.18029
Reese's Miniatures               0.279   81.86626
Twix                             0.906   81.64291
Kit Kat                          0.511   76.76860
Snickers                         0.651   76.67378

The top 5 favorite candy types out of this set are Reese’s Peanut Butter cup, Reese’s Miniatures, Twix, Kit Kat and Snickers.

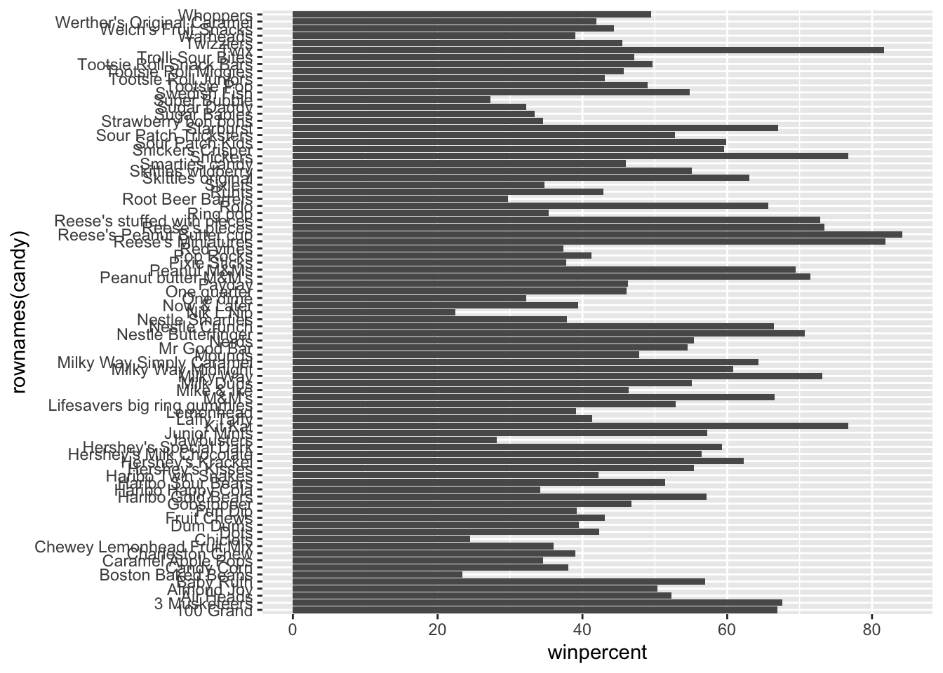
Q15. Make a first barplot of candy ranking based on winpercent values.

library(ggplot2)

ggplot(candy) +
  aes(winpercent, rownames(candy)) +
  geom_col()

Q16. This is quite ugly, use the reorder() function to get the bars sorted by winpercent?

ggplot(candy) +
  aes(winpercent, 
      reorder(rownames(candy), winpercent)) +
  geom_col()

  ylab("")
<ggplot2::labels> List of 1
 $ y: chr ""
ggsave("barplot1.png", height=10, width=6)
my_cols=rep("black", nrow(candy))
my_cols[as.logical(candy$chocolate)] = "chocolate"
my_cols[as.logical(candy$bar)] = "brown"
my_cols[as.logical(candy$fruity)] = "pink"
ggplot(candy) +
  aes(winpercent, reorder(rownames(candy), winpercent)) +
  geom_col(fill=my_cols)

Q17. What is the worst ranked chocolate candy?

The worst ranked chocolate candy is Sixlets.

Q18. What is the best ranked fruity candy?

The best ranked fruity candy is Starburst.

Q19. Which candy type is the highest ranked in terms of winpercent for the least money - i.e. offers the most bang for your buck?

ord <- order(candy$pricepercent, decreasing = TRUE)
head( candy[ord,c(11,12)], n=5 )
                         pricepercent winpercent
Nik L Nip                       0.976   22.44534
Nestle Smarties                 0.976   37.88719
Ring pop                        0.965   35.29076
Hershey's Krackel               0.918   62.28448
Hershey's Milk Chocolate        0.918   56.49050
candy$value <- candy$winpercent / candy$pricepercent
candy[order(candy$value, decreasing = TRUE),
      c("pricepercent","winpercent","value")][1:10, ]
                      pricepercent winpercent     value
Tootsie Roll Midgies         0.011   45.73675 4157.8862
Pixie Sticks                 0.023   37.72234 1640.1016
Fruit Chews                  0.034   43.08892 1267.3212
Dum Dums                     0.034   39.46056 1160.6045
Strawberry bon bons          0.058   34.57899  596.1895
Hershey's Kisses             0.093   55.37545  595.4350
Sour Patch Kids              0.116   59.86400  516.0689
Sour Patch Tricksters        0.116   52.82595  455.3961
Root Beer Barrels            0.069   29.70369  430.4883
Sixlets                      0.081   34.72200  428.6667

Tootsie roll midgets are ranked highest in terms of winpercent for the least money.

Q20. What are the top 5 most expensive candy types in the dataset and of these which is the least popular?

order <- order(candy$pricepercent, decreasing = TRUE)
top5exp <- candy[order, ][1:5, c("pricepercent","winpercent")]
top5exp
                         pricepercent winpercent
Nik L Nip                       0.976   22.44534
Nestle Smarties                 0.976   37.88719
Ring pop                        0.965   35.29076
Hershey's Krackel               0.918   62.28448
Hershey's Milk Chocolate        0.918   56.49050
top5exp[which.min(top5exp$winpercent), ]
          pricepercent winpercent
Nik L Nip        0.976   22.44534

The top 5 most expensive candy types are Nik L Nip, Nestle Smarties, Ring pop, Hershey’s Krackel, and Hershey’s Milk Chocolate. Of these, Nik L Nip is the least popular.

Exploring the correlation structure

Q22. Examining this plot what two variables are anti-correlated (i.e. have minus values)?

library(corrplot)
corrplot 0.95 loaded
cij <- cor(candy)
corrplot(cij)

cij <- cor(candy)
cij["chocolate", "fruity"]
[1] -0.7417211
cij <- cor(candy)
cij[lower.tri(cij)] <- NA
which(cij ==min(cij, na.rm = TRUE), arr.ind = TRUE)
          row col
chocolate   1   2

Chocolate and fruity are most anti-corrleated.

Q23. Similarly, what two variables are most positively correlated?

cij <- cor(candy)
max(cij[lower.tri(cij)])
[1] 0.6365167
which(cij == max(cij[lower.tri(cij)]), arr.ind = TRUE)
           row col
winpercent  12   1
chocolate    1  12

The two variables that are most positively correlated are winpercent and chocolate.

Principal Component Analysis

pca <- prcomp(subset(candy, select = -value), scale. = TRUE)
summary(pca)
Importance of components:
                          PC1    PC2    PC3     PC4    PC5     PC6     PC7
Standard deviation     2.0788 1.1378 1.1092 1.07533 0.9518 0.81923 0.81530
Proportion of Variance 0.3601 0.1079 0.1025 0.09636 0.0755 0.05593 0.05539
Cumulative Proportion  0.3601 0.4680 0.5705 0.66688 0.7424 0.79830 0.85369
                           PC8     PC9    PC10    PC11    PC12
Standard deviation     0.74530 0.67824 0.62349 0.43974 0.39760
Proportion of Variance 0.04629 0.03833 0.03239 0.01611 0.01317
Cumulative Proportion  0.89998 0.93832 0.97071 0.98683 1.00000
plot(pca$x[,1:2])

plot(pca$x[,1:2], col=my_cols, pch=16)

my_data <- cbind(candy, pca$x[,1:3])
p <- ggplot(my_data) + 
        aes(x=PC1, y=PC2, 
            size=winpercent/100,  
            text=rownames(my_data),
            label=rownames(my_data)) +
        geom_point(col=my_cols)

p

library(ggrepel)

p + geom_text_repel(size=3.3, col=my_cols, max.overlaps = 7)  + 
  theme(legend.position = "none") +
  labs(title="Halloween Candy PCA Space",
       subtitle="Colored by type: chocolate bar (dark brown), chocolate other (light brown), fruity (red), other (black)",
       caption="Data from 538")
Warning: ggrepel: 39 unlabeled data points (too many overlaps). Consider
increasing max.overlaps

library(plotly)

Attaching package: 'plotly'
The following object is masked from 'package:ggplot2':

    last_plot
The following object is masked from 'package:stats':

    filter
The following object is masked from 'package:graphics':

    layout
ggplotly(p)